稀树灌草丛生态系统约占全球陆地面积的20%,在调节全球碳、水和能量循环中具有重要作用,但该生态系统对干旱胁迫也极为敏感。随着干旱事件的频率与强度的不断增加,其生物物理功能可能遭受显著影响。尽管已有研究对该类生态系统干旱的直接影响进行了较充分的探讨,但干旱对其植被组成及相关生态系统功能的长期遗留效应,仍未得到清晰认识。
针对以上科学问题,中国科学院西双版纳热带植物园(以下简称“版纳植物园”)研究人员依托云南省生态系统稳定性与全球变化重点实验室研究平台,基于2017–2022年元江稀树灌草丛生态系统的长期定位观测数据(包括植被组成、碳水通量及地表反照率等),系统研究了2019年一次极端干旱事件的生态遗留效应,指出极端干旱会导致植被结构发生持久性的变化,这种变化在干旱结束后仍会持续存在,从而改变生态系统能量和水分的流动。研究结果进一步表明:(1)干旱后三年研究区域内植被呈持续减少趋势;与干旱前水平相比,乔木数量减少12%,灌木数量锐减50%,植被优势度向乔木偏移;(2)尽管初级生产总量在干旱后一年内能够恢复,但植被结构变化导致反照率和蒸散量持续下降,并低于干旱前水平;(3)植被变化对生态系统功能的影响呈现不均衡性,能量与水通量表现出更强的脆弱性,碳动态与生物物理过程之间存在解耦现象。在亚洲稀树草原区干旱加剧的背景下,这一现象可能会改变蒸发冷却效应,加剧区域气候变暖,进而引发生物多样性的连锁反应。未来研究应着重关注植物性状响应的内在机制、生态系统发生不可逆转变的关键阈值,以及植被组成-能量平衡-水通量耦合模型的构建,从而为干旱风险加剧背景下生态系统的适应性管理提供科学依据。

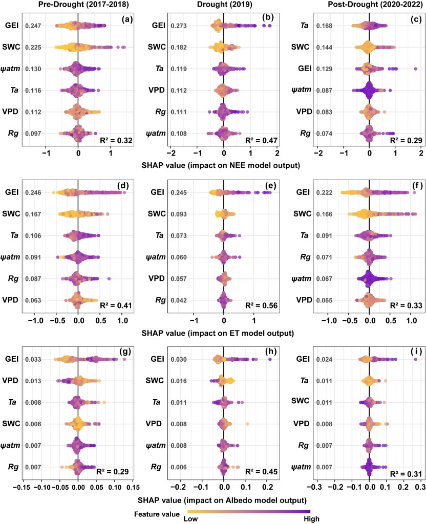
图1 干旱前年(2017-2018年)、干旱年(2019年)和干旱后年(2020-2022年)下生物/非生物驱动因素对净生态系统交换(NEE)、蒸散(ET)和反照率通量的贡献。较高的Shap值表示最重要的因素。

图2 2017年、2020年和2022年研究区半落叶、落叶和常绿灌木(A)和乔木(B)的数量,灌木和乔木数量(C),干旱前(2017-2018年)、干旱(2019年)和干旱后(2020-2022年)每月凋落物量(D)。不同的字母表示不同年份乔木或灌木的数量和凋落物的数量有显著差异(p < 0.05)。