随着全球气候变化的加剧,极端天气事件频率增加。研究森林生态系统对极端干扰的响应机制,对于制定适应性管理策略至关重要。然而亚热带森林生态系统树木在极端降雪事件后的生长恢复轨迹及其驱动因素,仍缺乏系统性研究。
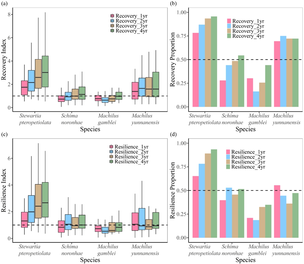
2015年1月,云南哀牢山遭遇了罕见的极端雪灾,对哀牢山亚热带常绿阔叶林结构和功能产生了严重的影响。中国科学院西双版纳热带植物园(以下简称“版纳植物园”)树木年轮与环境演变研究组以哀牢山亚热带中山湿性常绿阔叶林四个优势树种(舟柄茶、滇润楠、南洋木荷和黄心树)为研究对象,基于树木年轮和长期森林动态样地调查数据,系统研究了哀牢山2015年极端降雪事件后树木径向生长的恢复力与弹力,旨在揭示亚热带常绿阔叶树木在雪灾后的恢复时间和驱动因素。研究结果表明:(1)极端降雪事件导致四个树种径向生长显著下降;(2)雪灾后不同树种的恢复能力存在显著差异,舟柄茶和滇润楠超过的50%个体在雪灾后一年内恢复至干扰前生长水平,而黄心树和南洋木荷的径向生长需要四年才能完全恢复;(3)2015年雪灾后亚热带常绿阔叶林66.30%的树木经历了竞争释放,竞争释放是极端干扰后树木径向生长恢复力和弹力的主要驱动因素。该研究强调,极端降雪后的竞争释放促进了树木生长的快速恢复,为全球变化下亚热带森林的适应性管理提供了重要见解。
相关研究成果以“Competition release dominates growth recovery of four subtropical broadleaved tree species following an extreme snow event”为题,发表在国际学术期刊Forest Ecology and Management上。版纳植物园树木年轮与环境演变研究组已毕业博士研究生徐同良(现福建师范大学博士后)为论文第一作者,范泽鑫研究员为通讯作者。该研究得到国家自然科学基金面上、云南省自然科学基金重点项目及中国科学院“西部之光-西部交叉团队”项目的联合资助。

图1:哀牢山4个常绿阔叶种在极端降雪后不同年的恢复力(a)和弹力指数(c)箱形图。4个树种在极端降雪后不同年恢复力(b)和弹力指数(d)≥1的个体占比。

图2:4个树种的竞争释放、竞争指数、胸径、干扰前生长表现和树龄对哀牢山亚热带常绿阔叶树木生长恢复力和弹力影响的线性混合效应模型回归系数