目前,全球橡胶林种植面积已达1300多万公顷。为了促进橡胶树生长,获取更多的胶水和防治白粉病,大量的氮肥和硫磺粉被投入进橡胶林。投入橡胶林的氮肥和硫磺粉在土壤微生物的作用下产生大量的H+,导致盐基(Ca2+,Mg2+,K+和Na+)流失,土壤酸化。橡胶树的持续生长也会从土壤中吸取一定量的钙镁等元素,加剧土壤酸化进程。同时,热带雨林垦殖为橡胶林会导致土壤有机质含量的下降。土壤酸化进程和有机质是影响土壤金属离子含量的重要因素 。
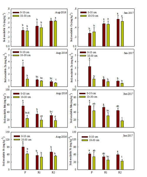
版纳植物园农林复合生态系统研究组的刘长安副研究员等人通过对热带雨林以及由其垦殖而来的不同年龄的橡胶林研究发现,热带雨林垦殖为橡胶林加剧了土壤酸化进程和盐基的流失,提高了有效铜和交换性铝的含量,降低了有效锌、锰和铁的含量。土壤盐基和有效铜主要受土壤酸化进程的影响,有效锌、锰和铁主要受土壤有机质含量的影响,交换性铝主要受土壤酸化进程和有机质含量的共同影响。热带雨林垦殖为橡胶林急剧减少的交换性钙镁和有效锌会制约植被的生长,释放出的交换性铝不但降低了有效磷的含量,而且会对周围的生态环境安全产生重大威胁。该研究系首篇对橡胶林金属离子分布格局进行系统研究的论文,该研究成果将为橡胶种植区生态环境的建设和橡胶产业的可持续发展提供重要的理论依据。
该研究结果以The conversion of tropical forests to rubber plantations accelerates soil acidification and changes the distribution of soil metal ions in topsoil layers为题发表在Science of the Total Environment。

热带雨林垦殖为橡胶林对0-10 cm和10-30 cm土层土壤pH和交换性铝含量的影响
F:热带雨林; R1:2003年建植的橡胶林;R2:1994年建植的橡胶林

热带雨林垦殖为橡胶林对0-10 cm和10-30 cm土层土壤有效铜、锌、锰和铁含量的影响
F:热带雨林; R1:2003年建植的橡胶林;R2:1994年建植的橡胶林